由于变压器的初级有漏感,当电源开关管V1由饱和导通到截止关断时会产生反电动势,反电动势又会对变压器初级线圈的分布电容进行充放电,从而产生阻尼振荡,即产生振铃,如下图所示。

图1
变压器初级漏感产生反电动势的电压幅度一般都很高,其能量也很大,如不采取保护措施,反电动势一般都会把电源开关管击穿,同时反电动势产生的阻尼振荡还会产生很强的电磁辐射,不但对机器本身造成严重干扰,对机器周边环境也会产生严重的电磁干扰。
图2 中的D1、R2、C6 是抑制反电动势和振铃电压幅度的有效电路,当变压器初级漏感产生反电动势时,反电动势通过二极管D1对电容器C6进行充电,相当于电容器把反电动势的能量吸收掉,从而降低了反电动势和振铃电压的幅度。电容器C6充满电后,又会通过R2放电,正确选择RC放电的时间常数,使电容器在下次充电时的剩余电压刚好等于方波电压的幅度,此时电源的工作高。

图2
图3中,当电源开关管V1导通或者关断时,在电容器C5、变压器T1的初级和电源开关管V1 组成的电路中会产生脉动直流i1,如果把此电流回路看成是一个“变压器"的“初级线圈",由于电流i1 的变化速率很高,它在“初级线圈"中产生的电磁感应,也会对周围电路产生电磁感应,我们可以把周围电路都看成是同一“变压器"的多个“次级线圈",同时变压器T1 的漏感也同样对各个“次级线圈"产生感应作用,因此电流i1 通过电磁感应,在每个“次级线圈"中都会产生的感应电流,我们分别把它们记为i2、i3、i4 •••。

图3
其中i2 和i3 是差模干扰信号,它们可以通过两根电源线传导到电网的其它线路之中和干扰其它电子设备;i4 是共模干扰信号,它是电流i1 回路通过电磁感应其它电路与大地或机壳组成的回路产生的,并且其它电路与大地或机壳是通过电容耦合构成回路的,共模干扰信号可以通过电源线与大地传导到电网其它线路之中和干扰其它电子设备。
与电源开关管V1的集电极相连的电路,也是产生共模干扰信号的主要原因,因为在整个开关电源电路中,数电源开关管V1 集电极的电位可达600V 以上,其它电路的电位都比它低,因此电源开关管V1的集电极与其它电路(也包括电源输入端的引线)之间存在很强的电场,在电场的作用下,电路会产生位移电流,这个位移电流基本属于共模干扰信号。
图2 中的电容器C1、C2和差模电感器L1 对i1、i2 和i3 差模干扰信号有很强的抑制能力。由于C1、C2 在电源线拔出时还会带电,容易触电伤人,所以在电源输入的两端要接一个放电电阻R1。
对共模干扰信号i4 要进行抑制,一般很困难,特别是没有金属机壳屏蔽的情况下,因为在感应产生共模干扰信号的回路中,其中的一个“元器件"是线路板与大地之间的等效电容,此“元器件"的数值一般是不稳定的,进行设计时对指标要留有足够的余量。图2 中L2 和C3、C4是共模干扰信号抑制电路器件,在输入功率较大的电路中,L2 一般要用两个,甚至三个,其中一个多为环形磁心电感。
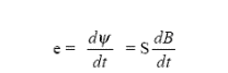
根据上面分析,产生电磁干扰的原因主要是i1 流过的主要回路,这个回路主要由电容器C5、变压器T1初级和电源开关管V1组成,根据电磁感应原理,这个回路产生的感应电动势为:

式中e为感应电动势,ψ 为磁通量,S 电流回路的面积,B为磁感应密度,其值与电流强度成正比,dt/dy为磁通变化率。由此可见,感应电动势与电流回路的面积成正比。因此要减少电磁干扰,首先是要设法减小电流回路的面积,特别是i1 电流流过的回路面积。另外,为了减少变压器漏感对周围电路产生电磁感应的影响,一方面要求变压器的漏感要做得小,另一方面一定要在变压器的外围包一层薄铜皮,以构成一个低阻抗短路线圈,把漏感产生的感应能量通过涡流损耗掉。
电磁辐射干扰也是通过电磁感应的方式,由带电体或电流回路及磁感应回路对外产生电磁辐射的。任何一根导体都可以看成是一根电磁感应天线,任何一个电流回路都可以看成是一个环形天线,电感线圈和变压器漏感也是电磁感应辐射的重要器件。要想抑制电磁辐射是不可能的,但通过对电路进行合理设计,或者采取部分屏蔽措施,可以大大减轻电磁干扰的辐射。
例如:
1.尽量缩短电路引线的长度和减小电流回路的面积,是减小电磁辐射的有效方法;
2.正确使用储能滤波电容,把储能滤波电容尽量近地安装在有源器件电源引线的两端,每个有源器件独立供电,或单独用一个储能滤波电容供电(充满电的电容可以看成是一个独立电源),防止各电路中的有源器件(放大器)通过电源线和地线产生串扰;
3.把电源引线的地和信号源的地严格分开,或对信号引线采取双线并行对中交叉的方法,让干扰信号互相抵消,也是一种减小电磁辐射的有效方法;
4.利用散热片也可以对电磁干扰进行局部屏蔽,对信号引线还可以采取双地线并行屏蔽的方法,让信号线夹在两条平行地线的中间,这相当于双回路,干扰信号也会互相抵消,屏蔽效果非常显著;
5.机器或敏感器件采用金属外壳是屏蔽电磁干扰方法,但非金属外壳也可以喷涂导电材料(如石墨)进行电磁干扰屏蔽。
图3中,如果输出电压高于1000V,必须考虑静电消除。虽然大多数的开关电源都采取变压器进行“冷热地"隔离,由于“热地",也叫“初级地",通过电网可构成回路,当人体触到“初级地"的时候会“触电",所以人们都把“初级地"叫做“热地",表示不能触摸的意思。而“冷地"也叫“次级地",尽管电压很高,但它与大地不构成回路,当人体接触到“次级地"的时候不会“触电",因此,人们都把“次级地"叫做“冷地",表示可以触摸的意思。但不管是“冷地"或者是“热地",其对大地的电位差都不可能是零,即还是会带电。如彩色电视机中的开关电源,“热地"对大地的电位差大约有400VP-P(峰峰值),“冷地"对大地的电位差大约有1500VP-P(峰峰值)。
“热地"带电大家比较好理解,而“冷地"带电一般人是难以理解的。那么“冷地"带电这个电压是怎样产生的呢?这个电压是由变压器次级产生的,虽然变压器次级的一端与“冷地"连接,但真正的零电位是在变压器次级线圈的中心,或整流输出滤波电容器介质的中间。这一点我们称为电源的“浮地",即它为零电位,但又不与大地相连。由此可知“冷地"带电的电压正好等于输出电压的一半,如电视机显像管的高压阳极需要大约3 万伏的高压,真正的零电位是在高压滤波电容(显像管石墨层之间的电容)的中间,或高压包的中间抽头处,由此可以求出电视机中的冷地与地之间的电压(静电)大约为15000V。同理,“热地"回路的“浮地"是在储能滤波电容器C5 的中间,所以“热地"正常带电电压应为整流输出电压的一半,约为200 VP(峰值),如把开关管导通或截止时产生的反电动势也叠加在其之上,大约有400VP-P(峰峰值)。
图2 中的R3 就是用来降低冷地与大地之间静电电压的,C8 的作用是降低“冷热"地之间的动态电阻。一般数字电路IC 的耐压都很低,如果“冷地"带电的电压很高,通过静电感应,或人体触摸,很容易就会把IC 击穿。顺便指出,“冷地"带电是属于静电的范畴,它只相当于对一个小电容充电,这个小电容的一端是大地,另一端是“冷地",电容量相当于“冷地"对大地之间的等效电容。另外,图2 中的C1、C2、C3、C4、C8、R1、R8、T1属于安全器件,使用时要注意安全要求。
微信扫一扫